新乡市中鑫封头制造有限公司为您免费提供不锈钢球型封头,不锈钢蝶形封头,5083椎体封头等相关信息发布和资讯展示,敬请关注!
咨询服务热线

18613741319

联系我们 Contact Us

新乡市中鑫封头制造有限公司

手机: 18613741319

电话:0373-7595028

传真:0373-7595969

邮箱:

地址: 新乡市平原新区马井开发区

山西河南封头

山西河南封头
产品内容说明 /Product description

山西河南封头是锅炉等压力容器的一个部件,也应用在管道封堵方面,新乡市中鑫山西封头生产的封头有不锈钢、碳钢、钛、铝材质等多种材质的山西椭圆封头山西锥形封头山西球形封头山西半球型封头等等。

河南封头标准——压力容器封头:

GB/T25198-2010 GB/T12459-2005 GB/T13401-2005 SH3408-1996 SH3409-1996 D-GD87-0607 DL/T695-1999

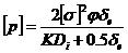
河南封头之山西椭圆封头:组成部分:半椭球和高度为H的短圆筒,大工作压力计算方法如下:

河南封头

椭圆封头应用:1.作为管道末端封口使用;2.作为压力容器罐子用。

河南封头之山西半球形封头——组成部分:半个球壳,应用介质:液体、气体以及气液混合蒸汽等。

河南封头之山西锥形封头——分为无折边和折边两种,应用:在航空航天以及医药化工、钢铁锅炉容器等行业都有应用。

河南山西封头厂家——新乡市中鑫封头制造有限公司常年生产制造多种规格型号的封头,欢迎广大新老客户前来洽谈合作!

相关标签: 封头厂家,河南封头,河南封头厂家
时间:2021-11-13
上一个: 山西封头直边     下一个: 山西河南封头厂

版权所有:新乡市中鑫封头制造有限公司 严禁转载或镜像,违者必究! Copyright 2026 不锈钢球型封头哪家好?不锈钢蝶形封头报价是多少?5083椎体封头质量怎么样?新乡市中鑫封头制造有限公司专门承接不锈钢球型封头的生产与加工,欢迎致电咨询. 豫ICP备2021034535号-1

热门城市推广: 开封 山西 陕西 内蒙 新疆 河北 南阳 湖北